Кинематика                                                              немного о физике:

Кинематика - раздел механики,  в котором изучается механическое движение, без учета  масс тел и причин, которые обеспечивают это движение.

Основная задача кинематики - описать движение тела в пространстве в зависимости от времени, не выясняя причин движения.

Основные понятия.

Механическим  движением называют изменение положения тела в пространстве относительно других тел с течением времени.

Рассмотрение любого движения начинают с выбора системы отсчета, включающей в себя: тело отсчета, систему координат и приборы для исследования движения.

Материальная точка - модель тела, размерами которого в рассматриваемых условиях можно пренебречь.

Траектория  - линия, вдоль которой движется тело.

Путь - длина траектории.

Перемещение - вектор, соединяющий начальное и конечное положения тела.

 

Положение тела в пространстве задается радиус - вектором или  тремя его проекциями на оси координат.

Следовательно закон движения - это зависимость радиус-вектора от времени или зависимость координат во времени.

где -радиус-вектор,      x, y, z - координаты тела.

Скорость тела - векторная физическая величина, характеризующая изменение положения тела в пространстве с течением времени.

Средняя скорость перемещения равна отношению полного перемещения к промежутку времени, за которое это перемещение совершено.

гдеср   -средняя скорость перемещения, - перемещение, t - интервал времени.

Средняя путевая скорость равна отношению полного пути к промежутку времени, за который этот путь пройден.

где υср - средняя путевая скорость , l - путь.

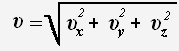
Мгновенная скорость - скорость в заданный момент времени.

 

Модуль мгновенной скорости  определяется  равенством:

где  υx ,  υy ,  υz - проекции вектора скорости на оси,

Мгновенная скорость  в каждой точке всегда направлена по касательной к траектории. Направление вектора скорости задается  косинусами:

где α , β , γ -углы между вектором скорости и осями x, y, z  соответственно.

 

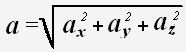
Ускорение - векторная физическая величина, характеризующая быстроту изменения скорости.

где а- ускорение, -изменение скорости, ,0 - конечная и начальная скорости.

 

Модуль ускорения  определяется  равенством:

где  - x ,  y  , z   -  проекции вектора ускорения на оси x, y, z соответственно.

 

 

Равномерное прямолинейное движение.

 

Равномерное движение - движение при котором материальная точка за любые равные промежутки времени совершает равные перемещения.

При  равномерном прямолинейном движении скорость тела постоянна, ускорение равно нулю. Траектория равномерного прямолинейного движения - прямая линия.

Для физических величин характеризующих движение имеем:

= 0

υ = const

Sx = υx· t

x = x0 + υx· t

 

Графики зависимости физических величин от времени

при равномерном прямолинейном движении.

 

1. график зависимости проекции скорости от времени.

 

 

2. график зависимости проекции перемещения от времени

 

 

3. график зависимости координаты от времени.

 

 

 

 

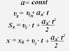
Равноускоренное прямолинейное движение.

Равноускоренным движением называют движение с  ускорением, постоянным по модулю и направлению. При равноускоренном движении скорость тела изменяется, ускорение остается постоянным. Траектория равноускоренного прямолинейного движения - прямая линия.

Для физических величин характеризующих движение имеем:

 

 

Графики зависимости физических величин от времени

при равноускоренном прямолинейном движении.

1. график зависимости проекции ускорения от времени.

 

 

 2. график зависимости проекции скорости от времени.

 

 

3. график зависимости проекции перемещения от времени.

 

 

 

4. график зависимости координаты от времени.

 

 

 

Равномерное  движение по окружности.

Скорость движения тела по окружности называют линейной скоростью. При равномерном движении по окружности модуль линейной скорости материальной точки со временем не изменяется, но изменяется ее направление.

Модуль линейной скорости равен отношению пройденного пути к промежутку  времени. Учитывая. что при равномерном движении по окружности путь равен длине дуги, то для линейной скорости имеет место равенство:

где l - длина дуги, R - радиус описанной окружности, φ - угол поворота радиус-вектора, t- время движения.

Еще одной  характеристикой движения по окружности является угловая скорость. Угловая скорость равна отношению угла поворота радиус-вектора к промежутку времени, за который этот угол пройден.

где ω - угловая скорость.

Связь между линейной и угловой скоростью определяется следующим равенством:   υ = ω·R

При равномерном движении по окружности линейная скорость изменяется по направлению, поэтому движение по окружности - это движение с ускорением. При равномерном движении по окружности ускорение направлено к центру окружности и называется нормальным или центростремительным ускорением. Модуль ускорения не меняется:

где  n -нормальное (центростремительное) ускорение.

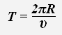
 Период вращения - промежуток времени, за который тело совершает один полный оборот.

где Т - период обращения.

Частота обращения - число оборотов, совершаемых телом в единицу времени. Частота обращения - величина , обратная периоду.

где ν - частота обращения.

 

 

Криволинейное движение.

 

Любое криволинейное движение можно представить как движение по дугам окружностей.

При произвольном криволинейном движении скорость может меняться как по модулю, так и по направлению. Ускорение так же является величиной переменной:

При криволинейном движении ускорение можно разложить на две составляющие:

 

 

где первое слагаемое - нормальная составляющая ускорения, второе слагаемое - тангенсальная составляющая ускорения.

Модуль полного ускорения равен:

Модули нормального  и тангенсального  ускорений соответственно равны:

 

где - производная модуля скорости по времени.