Радиус круговой орбиты
искусственного спутника Земли увеличился в
k1=4раза,
период его обращения увеличился при этом в
k2=8раз.
Модуль линейной скорости движения
спутника по орбите:
1)
увеличился в 2
раза; 4) не изменился;
2)
увеличился в 4
раза; 5) уменьшился в 2 раза.
3)
увеличился в 8 раз;
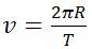
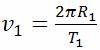
Решение.
Модуль линейной скорости вращения спутника
;
;

Ответ: 5).