Равноускоренное движение

Вариант 5

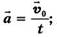
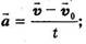
  1. Ускорение при равноускоренном прямолинейном движении выражается формулой:



       

  2. На рисунке даны графики зависимости модуля скорости от времени. Какое из пяти тел движется с наименьшей скоростью в момент времени, равный 2 с?

     1;       2;        3;           4;              5.

  3. На рисунке даны графики зависимости скоростей движения двух автомобилей от времени. Ох направлена вдоль прямолинейного участка пути. Через какое время эти автомобили окажутся рядом?(В начале отсчета оба автомобиля имели одинаковые координаты.)

    30 с;       60 с;       90 с;       автомобили никогда не будут рядом ;       автомобили все время будут находиться рядом.

     

  4. Скорость прямолинейного движения материальной точки изменяется со временем по закону . Чему равно ускорение точки через 2 с от начала движения?

    0;
    4 м/с2;
    3 м/с2;
    6 м/с
    2;
    2 м/с
    2.

     

  5. Чему равно отношение путей, пройденных телом за 2 с и за 3 с после начала свободного падения?

    2 : 3;
    : ;  
    3 : 5;
    4 : 9;
    3 : 4.


    


   © Синица А.А., Михальчик В.В., ГУО "СШ №2 им. Н.П. Массонова г.Свислочь", 2011011