Равноускоренное движение

Вариант 6

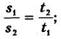
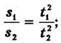
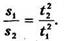
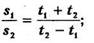
  1. Отношение путей, пройденных материальной точкой при равноускоренном движении без начальной скорости за время t1 и t2, равно:



       

  2. На рисунке даны графики зависимости модуля скорости от времени. Какое из четырех тел прошло наибольший путь за интервал времени от 0 с до 3 с?

     1;       2;        3;           4;              все четыре тела прошли одинаковый путь.

  3. По графику зависимости скорости тела от времени при прямолинейном движении определите, на каком участке графика средняя скорость равна 10 м/с.

    AB и BC;       BC и EF;       CD и DE;       DE и EF;       BC и DE.

     

  4. Зависимость проекции скорости движущегося тела от времени описывается уравнением vx = 2 + 3t. Соответствующее уравнение проекции перемещения тела:





     

  5. Тело свободно падает без начальной скорости. Принимая g = 10 м/с2, определите путь, пройденный телом за четвертую секунду падения

    45 м;
    35 м;  
    50 м;
    60 м;
    55 м.


    


   © Синица А.А., Михальчик В.В., ГУО "СШ №2 им. Н.П. Массонова г.Свислочь", 2011011