Криволинейное движение

Вариант 1

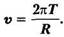
  1. При равномерном движении материальной точки по окружности модуль линейной скорости выражается формулой:






  2. Число оборотов материальной точки, равномерно движущейся по окружности, уменьшили в 3 раза. Центростремительное ускорение точки при этом:

    увеличилось в 3 раза;
    увеличилось в 9 раз;
    уменьшилось в 3 раза;
    уменьшилось в 9 раз;
    не изменилось.
  3. Тело движется по окружности радиусом 3 м со скоростью 12π м/с. Чему равна частота обращения?

    0,5 с-1
     2 с-1;
    с-1;
    2
    π2 с-1
    2
    π с-1;

  4. Диаметр обрабатываемой детали на токарном станке 12 см. Скорость резания 6 м/с. Частота вращения детали равна:





     

  5. Материальная точка равномерно движется по окружнос­ти радиусом 0,1 м. Чему равен модуль перемещения этой точки за интервал времени, равный половине перио­да обращения?

     

    0,2 м;
    0,314 м;
    0,628 м
    0 м;
    0,1 м.

    


      © Синица А.А., Михальчик В.В., ГУО "СШ №2 им. Н.П. Массонова г.Свислочь", 2011