Криволинейное движение

Вариант 3

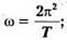
  1. Угловая скорость материальной точки при равномерном вращении по окружности выражается формулой:






  2. Как изменится центростремительное ускорение тела, если оно будет двигаться равномерно по окружности вдвое большего радиуса с той же скоростью?

    увеличится в 4 раза;
    увеличится в 2 раза;
    не изменится;
    уменьшится в 2 раза;
    уменьшится в 4 раза.
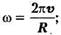
  3. Две материальные точки движутся по окружностям радиусами R1 = R2 и R2 = 2R с одинаковыми скоростями. Сравните их центростремительные ускорения:


     


     


  4. Точка расположена на расстоянии 0,2 м от оси вращения и совершает полный оборот за 0,2 с. Линейная скорость движения точки по окружности равна:

    π м/с;
    0,4
    π м/с;
    1,6
    π м/с;
    2
    πм/с;
    0,8
    π м/с.

     

  5. Материальная точка движется по окружности радиусом 0,2 м с постоянной по модулю скоростью 62,8 м/с. Период обращения точки равен: 

    50 с;
    10 с;
    0,2 с;
    0,02 с;
    2 с.

    


      © Синица А.А., Михальчик В.В., ГУО "СШ №2 им. Н.П. Массонова г.Свислочь", 2011