Равноускоренное движение. Скорость

Вариант 2

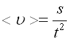
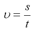
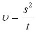
  1. Как определяется средняя скорость пути? t - промежуток времени.

    ;         ;        ;   ;   .

  2. На рисунке представлены графики зависимости проекций скорости от времени для пяти тел. Какое из пяти графиков соответствует уравнению проекции перемещения тела  ?

     1;       2;        3;           4;              5.

  3.   Лифт, поднимаясь равноускоренно, из состояния покоя в течение первых ∆t1=2c достигает скорости, модуль которой =4 м/с, и с этой скоростью продолжает подъем в течение промежутка времени ∆t2=4c. Последние ∆t3=3c он двигался равнозамедленно и останавливается. В результате лифт поднялся на высоту h, равную:

    13 м ;       26 м;       39 м;       44 м;       46 м.

     

  4.    Если поезд, двигаясь от остановки с постоянным ускорением, прошел путь s=180 м за промежуток времени   t=15 c, то за первые  t1=5 c от начала движения он прошел путь s1, равный:

    10 м;
    20 м;
    36 м;
    60 м;
    80 м.

     

  5.   Тело движется равноускоренно с начальной скоростью, модуль которой =1 м/с. Пройдя некоторое расстояние, оно приобретает модуль скорости =7м/с. Модуль скорости тела на половине этого расстояния равен:

    3 м/с;
    4 м/с;  
    4,5 м/с;
    5 м/с;
    5,5 м/с.

    


   © Синица А.А., Михальчик В.В., ГУО "СШ №2 им. Н.П. Массонова г.Свислочь", 2011