Цель: научиться определять абсолютную и относительную погрешности прямых измерений и представлять результат измерений в интервальной форме.
Оборудование: металлический шарик на нитке длиной =1 м, секундомер, штатив со стержнем, треугольник (рис. 1).
Рис. 1.Вывод расчетных формул
Прямым называется измерение, при котором значение искомой величины находится непосредственно по шкале прибора. Результат любого измерения содержит погрешность. Систематическая погрешность связана в основном с несовершенством измерительного прибора и округлениями при отсчетах и вычислениях. При повторении измерений систематическая погрешность остается неизменной.
Случайная погрешность — это погрешность, которая от одного измерения к другому изменяется непредсказуемым образом. Для определения случайной погрешности необходимо провести серию повторных измерений.
Абсолютная погрешность Δt измерений промежутка времени равна:
Δt = Δt сист+Δtслуч . (1)
Абсолютная систематическая погрешность Δtсист= Δtпр +Δtотсч определяется суммой предельной абсолютной погрешности прибора (секундомера) Δtпр и абсолютной погрешности отсчета Δtотсч.
Значение Δtпр берется из таблицы. Абсолютная погрешность отсчета Δtотсч равна половине цены деления шкалы секундомера. Если секундомер механический, то его стрелка от штриха к штриху движется скачками. Ее остановка между штрихами невозможна. Поэтому абсолютная погрешность отсчета Δtотсч для секундомера равна цене деления его шкалы.
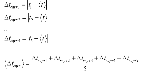
Максимальное значение абсолютной случайной погрешности измерения промежутка времени
(2)
где
— среднее значение
абсолютной случайной погрешности.
Коэффициент k зависит от числа повторных измерений. Например, при пяти повторных измерениях k = 3, при семи k = 2, при десяти и более — k = 1.
Относительная погрешностьεt, определяет, какую часть в процентах от среднего значения измеряемой величины (промежутка времени) составляет значение абсолютной погрешности:
(3)
Окончательный результат записывается в интервальной форме:
,

Например,
с, тогда

Порядок выполнения работы
1. К стержню штатива прикрепите
нить с шариком (см. рис. 1). Отведите шарик в
сторону (точку А) так, чтобы нить составила с
вертикалью угол
а = 30° (определяется треугольником). Отпустите
шарик и, одновременно нажав на кнопку
секундомера, измерьте минимальный промежуток
времени, через который шарик снова окажется в
точке А.
2. Повторите опыт не менее 5 раз.
3. Вычислите среднее значение промежутка времени:

4.
Вычислите абсолютную случайную погрешность при
каждом измерении и
среднее значение
Δtслуч при пяти измерениях х::

5. Определите максимальное значение случайной погрешности:

6. Определите абсолютную систематическую погрешность:
Δtсист= Δtпр +Δtотсч
![]()
![]()
![]()
![]()
![]()
![]()
![]()
![]()
Предельную
абсолютную погрешность Δtпр
секундомера найдите в
таблице 3. Абсолютную погрешность отсчета Δtотсч
определите как цену деления механического
секундомера.
7.
Вычислите абсолютную Δt
погрешность прямого
измерения промежутка
времени:
Δt = Δt сист+Δtслуч
8. Вычислите относительную 8, погрешность измерения:

9. Запишите окончательный результат в интервальной форме:
,

Контрольные вопросы
1. Почему нельзя абсолютно точно измерить прибором физическую величину?
2. Будет ли одинаковой относительная погрешность измерения промежутка времени, если нить с шариком отклонить на угол 45°? Почему?
3. Если при трех и более повторных измерениях данным прибором получены одинаковые значения физической величины, то чему равны абсолютные случайная и систематическая погрешности? Относительная погрешность?
Таблица. Предельные абсолютные погрешности некоторых мер и приборов
| Приборы и меры | Значение меры, диапазон измерений | Предельная абсолютная погрешность |
| Линейки: деревянные пластмассовые Мерная лента |
400, 500, 750 мм 200, 250, 300 мм 150 см |
0,5 см 1 мм 0,3 см |
| Гири для технических анализов | 10-100 мг 200 мг 500 мг 1 г 2 г 5 г 10 г 20 г 50 г 100 г |
1 мг 2 мг 3 мг 4 мг 6 мг 8 мг 12 мг 20 мг 30 мг 40 мг |
| Секундомеры механические | 30-60 с (один оборот) |
1,5 цены деления шкалы за один оборот секундной стрелки |
| Секундомеры электрические | 30 с | 0,5 цены деления шкалы за один оборот секундной стрелки |
| Секундомеры электронные | 30 с | 0,5 цены деления |




